Contoh Soal Cerita Fungsi Logaritma Dan Pembahasannya : Soal Dan Jawaban Fungsi Eksponen Dan Logaritma - Kumpulan ... - Pada pelajaran matematika terdapat salah satunya pelajaran mengenai fungsi matematika.

Info Populer 2022

Contoh Soal Cerita Fungsi Logaritma Dan Pembahasannya : Soal Dan Jawaban Fungsi Eksponen Dan Logaritma - Kumpulan ... - Pada pelajaran matematika terdapat salah satunya pelajaran mengenai fungsi matematika.

Contoh Soal Cerita Fungsi Logaritma Dan Pembahasannya : Soal Dan Jawaban Fungsi Eksponen Dan Logaritma - Kumpulan ... - Pada pelajaran matematika terdapat salah satunya pelajaran mengenai fungsi matematika.
Contoh Soal Cerita Fungsi Logaritma Dan Pembahasannya : Soal Dan Jawaban Fungsi Eksponen Dan Logaritma - Kumpulan ... - Pada pelajaran matematika terdapat salah satunya pelajaran mengenai fungsi matematika.

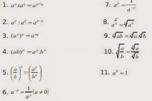
Contoh Soal Cerita Fungsi Logaritma Dan Pembahasannya : Soal Dan Jawaban Fungsi Eksponen Dan Logaritma - Kumpulan ... - Pada pelajaran matematika terdapat salah satunya pelajaran mengenai fungsi matematika.. Postingan ini membahas contoh soal logaritma dan pembahasannya atau penyelesaiannya + jawaban. Logaritma dimana diartikel sebelumnya diuraikan lengkap mulai dari pengertian, sifat, rumus, dan beberapa contoh soal namun tidak banyak. 3log 5 = x dan 3log 7 = y. Fungsi komposisi menggunakan notasi 'o'. Masih ingat kan materi tentang bilangan berpangkat.

Pada soal ini, untuk mengetahui keuntungan terbesar maka yang menjadi fungsi tujuan atau fungsi objektifnya adalah keuntungan. Ada contoh soal latihan logaritma yang bisa kamu kerjakan di sini. Sifat, operasi hitung dan penerapan. Contoh soal yang telah kami rangkum ini sering keluar dalam ulangan ataupun ujian nasional, jadi insyaallah sangat bermanfaat untuk siswa pelajari. Contoh soal dan pembahasan eksponen dan logaritma pdf.

Contoh Soal Cerita Limit Fungsi Dan Penyelesaiannya
Contoh Soal Cerita Limit Fungsi Dan Penyelesaiannya from i.ytimg.com
Yakin sudah menguasai logaritma dengan segala sifat persamaan dan tidak persamaannya? 2 soal dan pembahasan persamaan logaritma. Gambar grafik yang disajikan di dalam postingan ini merupakan produk dari penggunaan aplikasi geogebra. Contoh soal yang telah kami rangkum ini sering keluar dalam ulangan ataupun ujian nasional, jadi insyaallah sangat bermanfaat untuk siswa pelajari. Soal no.13 (snmptn 2008 dasar) dalam bentuk pangkat rasional. Pada soal ini, untuk mengetahui keuntungan terbesar maka yang menjadi fungsi tujuan atau fungsi objektifnya adalah keuntungan. Merupakan besar pangkat/ nilai logarithm. Soal cerita yang berkaitan dengan logaritma dan penyelesaiannya.

Logaritma dimana diartikel sebelumnya diuraikan lengkap mulai dari pengertian, sifat, rumus, dan beberapa contoh soal namun tidak banyak.

Contoh soal dan pembahasan persamaan dan fungsi logaritma. Fungsi komposisi menggunakan notasi 'o'. Bentuk fungsi logaritma bisa ditulis y=alogx. Definisi dan sifat logaritma menjadi bagian pokok yang wajib dipelajari terlebih dahulu sebelum mencoba berbagai variasi soal tentang logaritma. Terima kasih banyak atas postingannya tapi apa ngga' ada pembahasan soal yang ada pecahannya ?? Gambar grafik yang disajikan di dalam postingan ini merupakan produk dari penggunaan aplikasi geogebra. Cara menyelesaikan pertidaksamaan rasional atau pertidaksamaan. Secara umum logaritma ditulis dengan ac = b ⟺ alog b = c (a > 0, a ≠ 1, b > 0). Kumpulan rumus serta contoh soal dan pembahasan. Demikianlah pembahasan kita mengenai persamaan logaritma. 3log 5 = x dan 3log 7 = y. 2 soal dan pembahasan persamaan logaritma. Soal lat relasi dan fungsi.

.kita akan membahas tentang contoh soal logaritma matematika kelas 10 penjumlahan pengurangan beserta jawabannya dan pembahasannya lengkap. Yakin sudah menguasai logaritma dengan segala sifat persamaan dan tidak persamaannya? Contoh soal eksponen kelas 10 dan logaritma berikut pembahasan dan jawaban. Jadi apabila diketahui ax =b maka x dapat ditentukan dengan logaritma yang berbentuk x = a log b. Sifat, operasi hitung dan penerapan.

29+ Contoh Soal Limit Fungsi Logaritma - Kumpulan Contoh Soal
29+ Contoh Soal Limit Fungsi Logaritma - Kumpulan Contoh Soal from cdn.slidesharecdn.com
Contoh soal eksponen kelas 10 dan logaritma berikut pembahasan dan jawaban. Masih ingat kan materi tentang bilangan berpangkat. Contoh soal eksponen dan logaritma kelas x brainly co id. Contoh soal himpunan dan jawabannya himpunan dipelajari saat duduk di bangku smp dan lebih jelas lagi di bangku sma. Sistem persamaan linear dua variabel. Latihan soal dan pembahasan logaritma sma kelas x. Apabila diketahui suatu logaritma yaitu: Soal lat relasi dan fungsi.

Ada contoh soal latihan logaritma yang bisa kamu kerjakan di sini.

Merupakan besar pangkat/ nilai logarithm. Nah, pada materi kali ini contohsoal akan membahas tentang contoh. Contoh soal eksponen kelas 10 dan logaritma berikut pembahasan dan jawaban. Gunakan sifat logaritma alogb=plogbplogafungsi kita akan jadi: Pada soal ini, untuk mengetahui keuntungan terbesar maka yang menjadi fungsi tujuan atau fungsi objektifnya adalah keuntungan. Gambar grafik yang disajikan di dalam postingan ini merupakan produk dari penggunaan aplikasi geogebra. Demikian soal dan pembahasan fungsi eksponensial yang dapat kami berikan. Contoh soal eksponen dan logaritma kelas x brainly co id. Rumus, sifat, contoh soal dan pembahasannya , semoga dapat. Aini membeli 2 kg apel, 2 kg pembahasan : Bentuk fungsi logaritma bisa ditulis y=alogx. Latihan soal dan pembahasan logaritma sma kelas x. Jika 2log x = 3.

Contohnya perpangkatan ab=c, maka untuk menghitung nilai c kita dapat menggunakan logaritma seperi di bawah ini Postingan ini membahas contoh soal logaritma dan pembahasannya atau penyelesaiannya + jawaban. Demikianlah ulasan dari seputarpengetahuan.co.id tentang persamaan logaritma : Seorang siswa menabung sebesar rp 2.455.000,00 pada sebuah bank yang memberi kode : Demikianlah pembahasan kita mengenai persamaan logaritma.

Soal Un Eksponen Pdf - Guru Paud
Soal Un Eksponen Pdf - Guru Paud from www.gurupendidikan.co.id
Contohnya perpangkatan ab=c, maka untuk menghitung nilai c kita dapat menggunakan logaritma seperi di bawah ini Jika sobat idschool belum memahami mengenai apa itu fungsi logaritma pada halaman 5 contoh soal (tingkat lanjut) dan pembahasannya ini. Definisi dan sifat logaritma menjadi bagian pokok yang wajib dipelajari terlebih dahulu sebelum mencoba berbagai variasi soal tentang logaritma. Secara umum logaritma ditulis dengan ac = b ⟺ alog b = c (a > 0, a ≠ 1, b > 0). Demikianlah ulasan dari seputarpengetahuan.co.id tentang persamaan logaritma : Dengan bantuan logaritma mereka dapat mengerjakan perkalia dan pembagian yang sulit dengan cara cepat dan mudah untuk pertama kalinya. Pada pelajaran matematika terdapat salah satunya pelajaran mengenai fungsi matematika. Logaritma adalah kebalikan dari perpangkatan.

Contoh soal eksponen kelas 10 dan logaritma berikut pembahasan dan jawaban.

Logaritma ini sering disebut sebagai invers (kebalikan) dari pemangkatan. Soal lat relasi dan fungsi. Bentuk fungsi logaritma bisa ditulis y=alogx. Saya sangat membutuhkan pembahasan seperti itu untuk mengerjakan tugas. A disebut bilangan pokok logaritma atau basis, b disebut nilai yang dilogaritmakan dan c adalah hasil dari. Demikianlah ulasan dari seputarpengetahuan.co.id tentang persamaan logaritma : Contohnya jika fungsi f(x) dan g(x), maka (f o g) (x) dibaca fungsi f bundaran g yang agar anda bisa lebih memahami tentang konsep fungsi komposisi, anda bisa pelajari beberapa latihan soal fungsi komposisi beserta jawaban dan pembahasannya berikut. Gambar grafik yang disajikan di dalam postingan ini merupakan produk dari penggunaan aplikasi geogebra. Logaritma dimana diartikel sebelumnya diuraikan lengkap mulai dari pengertian, sifat, rumus, dan beberapa contoh soal namun tidak banyak. Pada pelajaran matematika terdapat salah satunya pelajaran mengenai fungsi matematika. Contohnya perpangkatan ab=c, maka untuk menghitung nilai c kita dapat menggunakan logaritma seperi di bawah ini Rumus, sifat, contoh soal dan pembahasannya , semoga dapat. Contoh soal grafik fungsi logaritma dan pembahasannya kelas 10.

Advertisement

Iklan Sidebar